1.問題背景
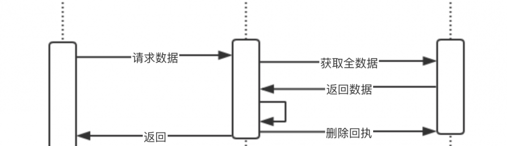
剛來新公司不久,對業務還不太熟悉,所以領導先安排我維護原有系統。大概介紹下項目背景,項目分為核心業務部分在項目A中,與第三方交互的業務在項目B中,前端發起請求調用A項目接口,並在A項目中調用B項目接口,並在B項目中調用第三方獲取數據(原有系統這樣設計的)。
獲取到第三方數據后判斷數據庫中是否有該記錄(有唯一鍵),如有則執行更新操作,沒有則新增。並且如果第三方認為該數據已失效,需要從數據庫中刪除(邏輯刪除),並返回第三方刪除成功回調,後續便不會再查到已失效的數據。
對應流程圖如下
在代碼處理中對整個過程加事務@Transactional註解,即在對數據進行刪除(邏輯刪除,實際執行update語句)時會根據唯一索引對該行加鎖。在生成環境B項目頻繁出現Lock wait timeout exceeded; try restarting transaction 異常,經排查定位到該功能代碼,排查代碼發現該功能有如下代碼
有經驗的同學應該已經看出問題所在,這裏將全局異常捕獲,記錄錯誤日誌,但問題就出在catch這裏,由於異常被catch吞噬,@Transactional無法拿到異常,所以不會執行rollback回滾,導致一直佔用數據庫行鎖。(這裏的異常是調用第三方接口失敗,由於調用太頻繁,第三方接口崩潰,這裏後續也做了併發控制) 所以後續事務在執行更新該行記錄時由於得不到鎖而等待失敗,就報了Lock wait timeout exceeded; try restarting transaction 異常。知道了問題出在什麼地方,解決起來也就簡單了,在catch中再將異常主動拋出即可 。即 throw e
2.問題影響
由於該接口是在核心項目A中有客戶端發起調用,並在A項目中調用B項目,由於B項目死鎖無法返回結果,導致A項目前端大量請求阻塞,由於tomcat支持的請求線程數有限,該問題直接導致A服務宕機。影響較為嚴重。
3.如何解決
下面說下該問題解決思路,由於A項目宕機,在服務器日誌中可以看到大量上述異常信息,Lock wait說明出現了鎖問題。
a.使用 SELECT * FROM INFORMATION_SCHEMA.INNODB_TRX;查看當前事務,使用SELECT * FROM INFORMATION_SCHEMA.INNODB_LOCKS;查看當前鎖定的事務,使用SELECT * FROM INFORMATION_SCHEMA.INNODB_LOCK_WAITS;查看當前等鎖的事務。使用以上三個sql基本能定位到代碼所在位置。
b.定位到代碼后,就要看具體的代碼問題了,導致異常沒有回滾的原因很多。這裏說一個注意事項,使用@Transactional註解,默認只會對RuntimeException進行回滾,而對IOException和SQLException不會觸發回滾。如果要對兩個非運行時異常進行回滾,需要在@Transactional中加入@Transactional( rollbackForClassName = {“IOException”,”SQLException”})或對全局異常Exception做回滾,配置為@Transactional(rollbackFor = Exception.class)。又或者捕獲IOException後手動拋出一個RuntimeException
總結
以上為博主在實際工作中遇到的問題,這裏記錄一下方便以後遇到類似問題可以快速定位並解決問題。也希望能對大家有幫助。
本站聲明:網站內容來源於博客園,如有侵權,請聯繫我們,我們將及時處理【其他文章推薦】
※如何讓商品強力曝光呢? 網頁設計公司幫您建置最吸引人的網站,提高曝光率!!
※網頁設計一頭霧水??該從何著手呢? 找到專業技術的網頁設計公司,幫您輕鬆架站!
※想知道最厲害的台北網頁設計公司推薦、台中網頁設計公司推薦專業設計師”嚨底家”!!